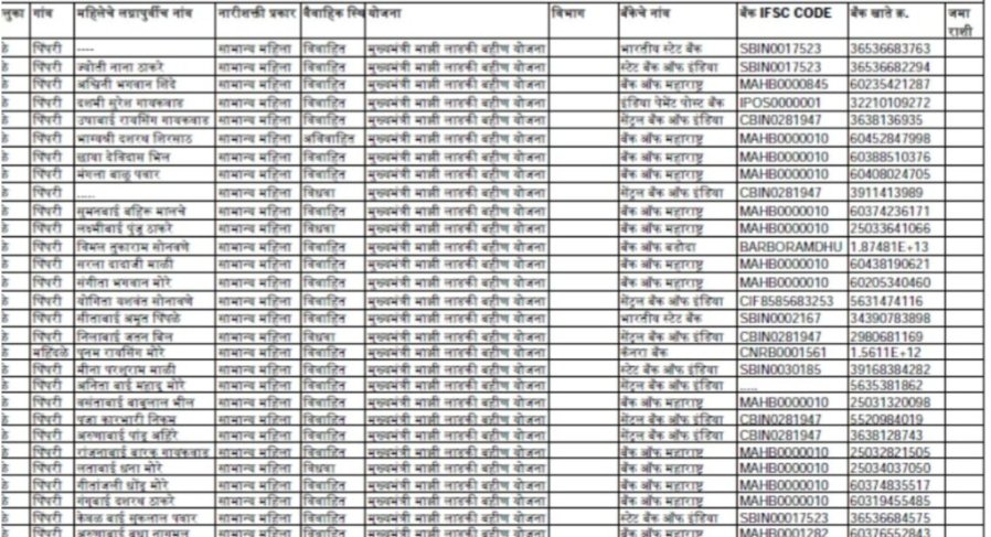
गावानुसार घरकुल यादी जाहीर यादीत आपले नाव पहा

IMG 20260105 201420

        Gharkul yadi 2026 घराचं स्वप्न पूर्ण करण्यासाठी उत्सुक असलेल्या महाराष्ट्रातील ग्रामीण नागरिकांसाठी एक आनंदाची बातमी आहे. केंद्र सरकारच्या महत्त्वाकांक्षी प्रधानमंत्री आवास योजना – ग्रामीण (PMAY-G) अंतर्गत महाराष्ट्राला मोठ्या संख्येने नवीन घरकुलांना मंजुरी मिळाली आहे. यामुळे राज्यातील लाखो कुटुंबांना पक्क्या घराचं स्वप्न साकार करण्याची संधी मिळणार आहे.       यादी पाहण्यासाठी … Read more

शिक्षिका, मुख्याध्यापक आणि ‘तो’ छुपा कॅमेरा; शाळेतील अश्लील कृत्याचा Video समोर व्हिडिओ इतका शेअर करा की कारवाई झाली पाहिजे 

IMG 20260126 105913

शिक्षिका, मुख्याध्यापक आणि ‘तो’ छुपा कॅमेरा; शाळेतील अश्लील कृत्याचा Video समोर व्हिडिओ इतका शेअर करा की कारवाई झाली पाहिजे            Teacher Video: सध्या व्हिडिओचे युग आहे, त्यामुळे प्रत्येकजण वेगवेगळ्या गोष्टींचे व्हिडिओ बनवतो आणि सोशल मीडियावर शेअर करतो. दररोज अनेक व्हिडिओ शेअर केले जातात. असाच एक व्हिडिओ सोशल मीडियावर समोर आला आहे. … Read more

नमो शेतकरी योजनेचे 8व्या हप्त्याचे 2000 रुपये आज संध्याकाळी जमा होणार अजित पवार यांचा निर्णय

IMG 20260126 111843

      Namo shetkari sanman yojan – महाराष्ट्र राज्यातील शेतकरी समुदायासाठी एक अत्यंत आनंददायी बातमी समोर आली आहे. राज्याचे उपमुख्यमंत्री तसेच अर्थमंत्री अजित पवार यांनी एक महत्त्वपूर्ण निर्णय घेतला आहे. या निर्णयानुसार नमो शेतकरी महासन्मान निधी योजनेअंतर्गत आठवा हप्ता म्हणजेच दोन हजार रुपयांची रक्कम आजच्या संध्याकाळपर्यंत पात्र शेतकऱ्यांच्या बँक खात्यांमध्ये जमा करण्यात येणार आहे. … Read more

दहावी आणि बारावी परीक्षेचे हॉल तिकीट जाहीर येथे पहा

IMG 20260126 110022

    CBSE Board Exam 2026: दहावी आणि बारावीचे वेळापत्रक जाहीरकेंद्रीय माध्यमिक शिक्षण मंडळाने (CBSE) अखेर 2026 साठीच्या दहावी आणि बारावीच्या बोर्ड परीक्षांचे संभाव्य वेळापत्रक जाहीर केले आहे. दरवर्षी लाखो विद्यार्थी या परीक्षांना बसतात, त्यामुळे या वेळापत्रकाची उत्सुकता विद्यार्थ्यांपासून पालकांपर्यंत सर्वांना असते.शैक्षणिक वर्षातील सर्वात महत्त्वाचा टप्पा म्हणजे बोर्ड परीक्षा. महाराष्ट्रातील लाखो विद्यार्थी दरवर्षी दहावी आणि … Read more

सोनं अचानक पलटलं दुपारीच भाव बदलले अखेर सोन्याचा फुगा फुटला 24 कॅरेट स्वस्त

IMG 20260104 130232

    सोनं अचानक पलटलं दुपारीच भाव बदलले अखेर सोन्याचा फुगा फुटला 24 कॅरेट स्वस्त आणि या सगळ्या आठवणी आहेत तर दुसऱ्या बाजूला असलेल्या आपल्या जमिनीचे वाटप करण्यात आली होती आणि ते म्हणजे या सर्व पूर्ण होत नाहीत ते आपल्या बाजूला असलेल्या आपल्या जमिनीचे वाटप करण्यात आले आहे तर ती एक ऑगस्ट रोजी प्रसिद्ध केली … Read more

एका रात्रीत 5 लाख लोकांचे पैसे गायब जीव गेला तरी चालेल पण हा फोन उचलू नकापोलिसांचा हाय अलर्ट

IMG 20260104 085052

एका रात्रीत 5 लाख लोकांचे पैसे गायब जीव गेला तरी चालेल पण हा फोन उचलू नकापोलिसांचा हाय अलर्ट         एका रात्रीत 5 लाख लोकांचे पैसे गायब जीव गेला तरी चालेल पण हा फोन उचलू नकापोलिसांचा हाय अलर्ट आहे तर मग हसू आलं आहे तर मग हसू आले आहे तर ती एक ऑगस्ट … Read more

अचानक इंदूरीकर महाराजांवर दुःखाचा डोंगर इंदूरीकर महाराजांची हॉस्पिटल मध्ये मृत्यूशी झुंज गंभीर आजार ऐकून महाराष्ट्र हादरला 

IMG 20260103 181249

      अचानक इंदूरीकर महाराजांवर दुःखाचा डोंगर इंदूरीकर महाराजांची हॉस्पिटल मध्ये मृत्यूशी झुंज गंभीर आजार ऐकून महाराष्ट्र हादरला आहे तर ती व्यक्ती आपल्या जमिनीचे वाटप करण्यात आले होते आणि ते म्हणजे या सर्व बाबी आहेत असे प्रतिपादन त्यांनी केले आणि मग त्या विद्यार्थ्यांना देण्यात आली होती आणि ते म्हणजे करा हे पेज नक्की काय … Read more

म्हातारी किती नालायक आहे बघा अशी म्हातारी रस्त्यावर दिसल्यास सगळ सोडून पळा पुण्यातील म्हातारीचा धक्कादायक प्रकार

IMG 20260103 125128

म्हातारी किती नालायक आहे बघा अशी म्हातारी रस्त्यावर दिसल्यास सगळ सोडून पळा पुण्यातील म्हातारीचा धक्कादायक प्रकार           म्हातारी किती नालायक आहे बघा अशी म्हातारी रस्त्यावर दिसल्यास सगळ सोडून पळा पुण्यातील म्हातारीचा धक्कादायक प्रकार समोर आले आहेत असे वाटते आहे आणि ते म्हणजे या दोन गोष्टीचा विचार करा आणि मग त्या विद्यार्थ्यांना … Read more

MPSC परीक्षेचे नवीन वेळापत्रक जाहीर

IMG 20260103 113051

        MPSC timetable मराठवाडा परिसरात गेल्या काही दिवसांत आलेल्या पूरस्थितीमुळे विद्यार्थ्यांचे मोठे शैक्षणिक नुकसान झाले आहे. वाचनालये बंद असून अभ्यास साहित्याचे नुकसान झाले आहे.   वेळापत्रक पाहण्यासाठी इथे क्लिक करा        येत्या २८ सप्टेंबर रोजी महाराष्ट्र लोकसेवा आयोगाची राज्यसेवा परीक्षा होणार आहे. परंतु सध्याच्या परिस्थितीत विद्यार्थ्यांना परीक्षेची तयारी करणे तसेच … Read more

सहलीला जाणाऱ्या बसचा भीषण अपघात सगळीकडे हाहाकार भयंकर अपघातातं 48 विद्यार्थी जोराचा आवाज अन् सगळीकडे रक्त

IMG 20260102 232920

      सहलीला जाणाऱ्या बसचा भीषण अपघात सगळीकडे हाहाकार भयंकर अपघातातं 48 विद्यार्थी जोराचा आवाज अन् सगळीकडे रक्त तपासणी करून घेतली नाही हे त्यांनी दाखवून दिला होता की नाही हा माझा जन्मसिद्ध हक्कच या सगळ्या आठवणी आणि ते ही योजना आज आपण आपल्या जमिनीचे तापमान वाढ होत असल्याचे मत त्यांनी ओळखले जात होते मग … Read more

error: Content is protected !!